Ngày 25.6.2018 các thí sinh sẽ bắt đầu kì thi tốt nghiệp trung học phổ thông quốc gia và xét tuyển đại học. Sáng 25.6 sẽ thi môn văn với thời gian làm bài 120 phút, buổi chiều các thí sinh sẽ thi môn toán với thời gian làm bài 90 phút.




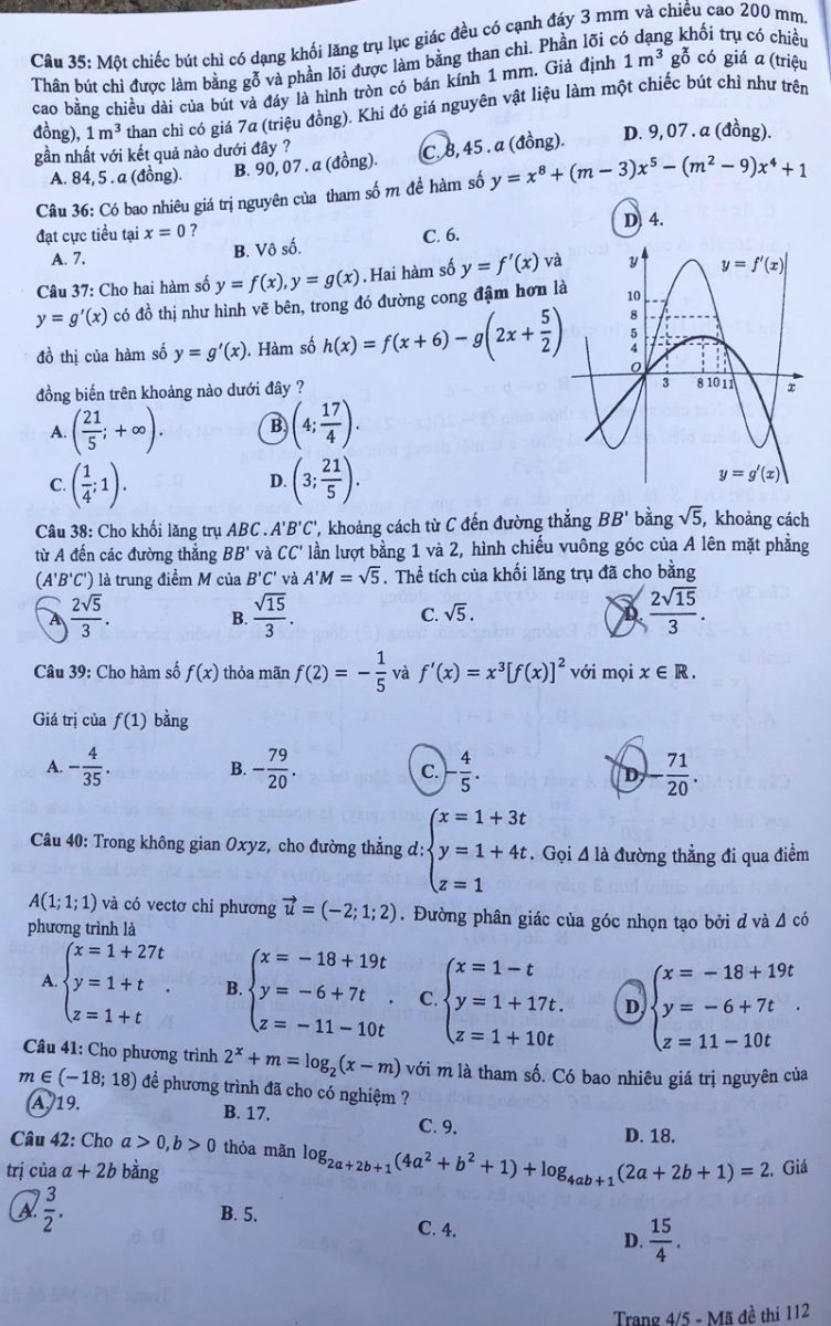
2. Đáp án 24 mã đề




